PeriGen / NIH / NICHD

Labor Progression Prediction with Gaussian Processes

📄 Published in American Journal of Obstetrics & Gynecology (2024) and Bioengineering (2024)

Predicting how labor will progress is one of the hardest problems in obstetrics. Every patient is different, yet for decades clinicians have relied on population-average curves (like the Friedman curve) that assume labor follows a fixed pattern. These curves don't update as new information arrives, and they can't tell you how confident the prediction is. Using a Sparse Gaussian Process model, we built a system that tracks each patient's labor in real time, adapts its predictions with every new cervical exam, and provides calibrated uncertainty estimates.

Model
SGPR

Sparse GP reduces complexity with inducing points (m « n).

Adaptation
Real-Time GP

GP posterior updates with each new cervical exam; predictions sharpen as labor progresses.

Input Features
6 variables

D(t-1), E(t-1), S(t-1), contractions, epidural, induction.

Prediction
Real-time

Forecasts update as new cervical exams arrive during labor.

Why existing approaches fall short

  • One-size-fits-all curves: The Friedman curve and its variants assume every labor follows the same sigmoidal pattern. In reality, a first-time mother's labor looks very different from her fourth, and epidural or induction further change the trajectory.
  • No real-time feedback loop: Traditional models are drawn once and never updated. A clinician checking dilation at hour 6 gets no benefit from the exam at hour 4 because the curve was never designed to incorporate new data.
  • No uncertainty estimate: These models give a single line on a chart. They can't distinguish between a patient who is "slightly behind" and one who is "dangerously stalled" because both situations look the same without a confidence band.

What we built

Our SGPR model is trained on thousands of births and fine-tunes its prediction for each new patient as cervical exams arrive. It takes six inputs from the previous time step (cervical dilation, effacement, fetal station, contraction frequency, epidural use, and whether labor was induced) and predicts how dilation and station will evolve. The GP posterior updates in closed form with each exam, so predictions sharpen automatically as labor progresses.

Methodology

SGPR model schematic: 6 input features feed into Sparse Gaussian Process Regression to predict cervical dilation and fetal station with uncertainty
Model schematic. Six clinical features from the previous time step feed into the SGPR model, which outputs predicted cervical dilation D(t) and fetal station S(t) with uncertainty bands. Each patient is treated as a separate meta-task.
Standard GP vs SGPR comparison: O(n^3) full covariance vs O(nm^2) with inducing points
Standard GP vs. SGPR. Left: full GP requires inverting an n x n covariance matrix at O(n3) cost. Right: SGPR uses m inducing points (blue diamonds) to approximate the posterior at O(nm2) cost, achieving a 10x speedup when m is much smaller than n.

GP posterior predictive

Given \(n\) training points and test inputs \(X_*\), the GP posterior provides both a prediction and its uncertainty in closed form:

\[ f_* \mid X, y, X_* \sim \mathcal{N}\bigl(K_{*f}(K_{ff} + \sigma_n^2 I)^{-1}y,\; K_{**} - K_{*f}(K_{ff} + \sigma_n^2 I)^{-1}K_{f*}\bigr) \]

The mean gives the predicted dilation/station, and the covariance gives the uncertainty band. Both are computed analytically.

Sparse variational GP bound

Full GP inference is \(O(n^3)\), which is impractical for 50,000 births. SGPR uses \(m \ll n\) inducing points to approximate the posterior. The general sparse variational bound is:

\[ \log p(y) \geq \sum_{i=1}^{n}\mathbb{E}_{q(f_i)}\bigl[\log p(y_i \mid f_i)\bigr] - \mathrm{KL}\bigl[q(\mathbf{u}) \,\|\, p(\mathbf{u})\bigr] \]

This reduces complexity to \(O(nm^2)\), making real-time bedside prediction practical.

1

Collect exam data

As labor progresses, nurses record cervical dilation, fetal station, and timing at each exam, typically 3 to 12 exams per patient. This forms a sparse, irregular time series.

2

Fit the GP model

We use sparse inducing points to keep computation fast enough for real-time use. With nearly 50,000 training births, predictions need to come back in seconds.

3

Adapt to the patient

Meta-learning lets the model specialize: after seeing just 2–3 exams from a new patient, it adjusts its predictions to match her specific labor pattern rather than the population average.

4

Benchmark against guidelines

We compared our predictions head-to-head with WHO and ACOG labor curves to measure whether individualized forecasting actually improves clinical sensitivity.

Results

Two-panel GP prediction: left shows patient-specific prediction with uncertainty bands, right shows how prediction sharpens as more cervical exams arrive
GP prediction with real-time adaptation. (a) Patient-specific dilation prediction: the GP posterior mean (blue line) with 68% and 95% prediction intervals, conditioned on approximately 8-10 cervical exams (black dots). Posterior uncertainty is small near observed exams and grows substantially in the extrapolation region (hours 10-12) where no data has been observed. (b) Prediction improves as more data arrives: after only 2 exams (orange, dashed), the uncertainty band is wide; after 5 exams (blue, solid), the prediction interval tightens substantially around the patient's observed trajectory, illustrating real-time bedside adaptation.
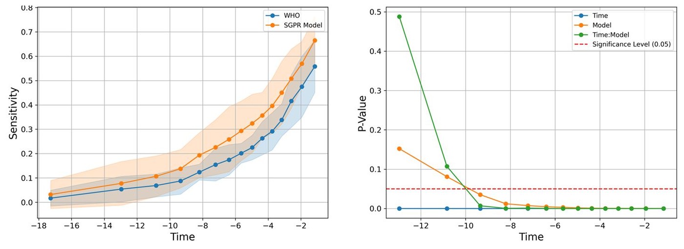
Sensitivity over time: SGPR vs ACOG and WHO guidelines, with RM-ANOVA P-values
Sensitivity comparison. Left: Sensitivity over time comparing SGPR model vs. WHO guidelines. SGPR achieves consistently higher sensitivity. Right: RM-ANOVA P-values showing that Time, Model, and Time x Model interaction effects reach statistical significance (p < 0.05) from approximately 8 hours before delivery onward.

Confirmed Publications

American Journal of Obstetrics and Gynecology, 2024

New labor curves of dilation and station to improve the accuracy of predicting labor progress

E.F. Hamilton, T. Zhoroev, P.A. Warrick, A.L. Tarca, T.J. Garite, A.B. Caughey, et al.

Read on ScienceDirect
Bioengineering, 2024

Data-Driven Insights into Labor Progression with Gaussian Processes

T. Zhoroev, E.F. Hamilton, P.A. Warrick

Read on MDPI